(一)进入“指数分析”
“指数分析”应用的形式也是标准的MixIOT Indass应用布局:

除了权重计算器外,只有两个菜单板块:分析项目和分析结果,我们根据需要创建不同的指数分析项目。
每一个分析项目,就是需要计算的特定的一种指数。也就是说,我们需要编制一个统计指数,就需要创建对应该统计指数的一个分析项目。
MixIOT 体系应用中,数据分析相关的应用(MixIOT Indass)的几个应用的布局都差不多是这样,除了指数分析,还包括偏态分析、稳定性分析、平衡与增量分析以及风险分析。
按 “+添加” 创建统计指数分析项目:

除了项目名称、别名,还有其他的一些项目属性:
(1)数据周期
指统计指数的计算所使用多久以来的数据。一般来说,这需要根据指数编制的要求来确定。通常来说,指数计算的频次无需特别密集,一分钟计算一次,已经是非常高频次了。对一些对象变化不是很大,变化不剧烈的对象而言,可以适当降低计算频次。
(2)计算频次
指多久计算一次。单位是每小时计算多少次,如果每分钟计算一次,就填写60;如果5分钟计算一次,就填写12;如果是半分钟(30秒)计算一次,就填写120。
(3)关联对象
指需要进行该统计指数计算的对象列表。可以通过 “+添加对象” 按钮把需要计算这个指数的对象添加进去。添加对象后,这些对象就会按指数分析项目所规定的频次输出该统计 指数的计算结果。
(4)指数分析脚本
脚本提供纯脚本编辑和界面化方式。
脚本部分有两个内容,一个是对象变量( FV)的选择以及相关的统计计算方法;另一个是构成统计指数的表达式。
这里需要说明的是,为了书写和使用的简化和方便,在表达式中,我们直接沿用对象变量标识(FV)来代表变量经过统计计算后的结果。
举个例子:

假设 W、X、Y、Z 是4个宏变量,分别代表 FV S01 在计算时段里数据的均值、FV S02 在计算时段里数据的正计数(也就是读数转用量)值,FV S03 在计算时段里数据的方差值,以及 FV S04 在计算时段里数据的总和。
那么,表达式的结果
就是我们要计算的,这个计算时段的指数。
我们可以直接把 “界面” 模式切换成 “脚本” 模式:

如果是直接在脚本编辑器里面编写脚本,那么这个指数项目的脚本就应该这样写:
{
"input": [
[ "S01", "Mean", "W" ],
[ "S02", "Measure", "X" ],
[ "S03", "Variant", "Y" ],
[ "S04", "Sum", "Z" ]
],
"expr": "0.1 * W + 0.2 * X + 0.3 * Y + 0.4 * Z"
}Mean、Measure、Variant 和 Sum 是分别对应于该对象变量 S01、S02、S03 和 S04 的计算函数。
MixIOT 支持的计算函数可以从界面上看到:

在脚本中对应的写法是:
- Count:计数
- Measure:读数转用量
- Integral:积分
- Margin:最大最小差
- Max:最大值
- Min:最小值
- Mean:均值
- Sum:求和
- Variant:方差
脚本的基本格式是:
{
"input": [
[ "对象变量名FV", "计算函数", "宏变量" ],
[ "对象变量名FV", "计算函数", "宏变量" ],
[ "对象变量名FV", "计算函数", "宏变量" ],
......
[ "对象变量名FV", "计算函数", "宏变量" ]
],
"expr": "宏变量的计算表达式"
}我们在编写表达式时候需要非常小心。指数分析项目中的表达式,只能是宏变量的表达式,如果表达式出现了变量(FV)名,则计算就会出错,整个分析项目不会输出任何计算结果。
所以,我们在创建指数分析项目后,初期需要去检查和验证结果,如果看不到有计算结果输出,那就要回头去检查表达式是不是有错。
(二)创建综合运行指数分析项目
我们将在 “指数分析” 应用中,为三普能源集团旗下的各瓦斯电站创建指数分析项目,但首先要清楚,我们希望要观察什么。
发电机组自身的运行情况,是佳华电站能否正常生产的重要情况,所以第一个指数,我们选择发电机组的 “运行综合指数”,这个指数旨在关注瓦斯发电机组的综合运行情况。
设备运行的综合指数,是一种比较典型和有代表性的指数构造方法。这种统计指数的构造方法相对很容易。我们按如下步骤来构造这个统计指数。
(1)选择一些重要的因素(FV变量)
回顾一下佳华机组的变量情况:

我们可以选择相对比较重要的变量作为统计指数的因素,它们分别是:燃气浓度给定值(S23)、J功率预设值(S24)、燃气压力(S25)、增压压力(S28)和有功功率(S29),这几个指标基本上能反映瓦斯发电机组的运行情况。
要记住,我们构造的是 “综合运行指数”,所以指数因素的选择一定要能够反映 “机组综合运行情况” 才行。
(2)确定权重
上面选择了5个指数因素。虽然这些因素都从不同侧面反映了机组的运行情况,但对机组运行综合状态而言,它们的相对重要性并非完全一样。为了保证综合运行指数能更加完整准确地反映机组的运行情况,就需要确定这些因素的相对重要性比例,这就是权重。
MixIOT Indass 数据分析体系应用中,都配有 “权重计算器”,它可以通过两两因素的相对性,计算出这些因素总体的相对权重。
进入 “指数分析” 应用,打开 “权重计算器”:

按权重计算器使用步骤提示依次进行操作:
- 先输入参数个数为5;
- 再填写这5个参数变量名,燃气浓度给定值(S23)、J功率预设值(S24)、燃气压力(S25)、增压压力(S28)和有功功率(S29);
- 最后,按“横-纵”因素的两两重要性比对:相对重要(或相同重要)的输入1相对次要的输入0。
如下图所示:

然后,点击 “提交”,获得计算结果:

也就是说,S23(燃气浓度给定值)、S24(J功率设定)、S25(燃气压力)、S28(增压压力)和S29 (有功功率)因素的权重分别是: 0.064、0.111、0.036、0.046和0.743。
(3)指数构造
有了统计指数因素(变量)以及这些因素的权重,我们选择简单的构造方法:
其中, ~ 就是各自因素的权重值,分别是:0.064、0.111、0.036、0.046和0.743;
而 、、、、、是对象变量 、、、和 在计算周期内的平均值。
(4)创建统计指数分析项目
进入“分析项目”菜单板块,按“+添加”分析项目 :

- 项目名称为 “机组综合运行指数”,别名为 “ComposedNDX”。
- 数据周期为5分钟,意思是,每次计算所用个的数据,最近5分钟的数据。
- 计算频次为60(次/小时),每小时计算 60次,也就是每分钟一次。
- 关联对象,可以选择全部单台机组对象。

只要对象的变量(FV)命名相同,就可以选择。

这样,这个项目每分钟输出一次所有机组综合运行指数的计算结果。每个计算结果所使用的数据,都是?????
(5)完成项目脚本
跟其他的应用一样,“指数分析” 应用的核心部分也是指数计算脚本。有了变量,有了变量的权重,有了计算公式,我们就可以编写脚本:

如果不喜欢写脚本,也可以用界面化的方法来完成脚本:

做完了这些,就可以确定保存这个指数分析项目 :

项目创建完成后,就可以在操作菜单里面 “启动” 运行这个指数分析项目。这个指数分析项目启动后,每分钟会输出一次每台机组的综合运行指数。
(三)综合运行指数的物理意义
我们以一个时间段的机组数据为例来说明 “综合运行指数” 的意义。


拆解一下指数和权重:

我们挑选一个数据变化比较大的时段。看到这些数据,基本上对这个指数的水平(值)和变化可以有一个大概的估计。一个是指数所选的因素(变量)数据值的大小,另一个是对应于这个因素(变量)的权重大小,这样就对这个指数是怎么回事基本上就心里有数。我们的目的是想知道,哪些因素的变化,会影响这个指数的变化;不仅如此,还希望能知道,指数的变化代表可能所构造的这个指数的哪个因素的变化,以及变化程度、变化速度。
比如,在这个指数构造中,S25 (燃气压力)值本身很小,计算周期的均值也很小,而且S25对应的权重是最小的,只有0.036,那它们的乘积就更小。也就是说,燃气压力的变化,基本上对指数Q的结果基本上没有什么影响;反之,我们从指数Q的变化中,也观察不到燃气压力的变化。
我们看一下计算出来的指数的情况,这是一个360分钟(6小时)的指数变化图:

放大一个20分钟的指数变化图:

如果对照构成指数的5个参数的数据,其实就很容易发现,综合运行指数Q与实际数据是怎样的一个对应关系。
这个指数的计算频次是每分钟一次,但每次计算的数据是最近的5分钟数据,换句话说,每分钟所计算出来的指数,其中有4分钟的数据是重复的,我们称为 Overlaped Index。这样做的目的,就是为了让指数的变化相对平滑,不至于大起大落,便于进行指数分析。
(四)因素等效比例
前面一种指数的构造中,所选择的因素(变量)、权重分配以及指数公式本身并没有什么问题。但是一旦结合实际数据,好像就出现了问题:

比如 S25(燃气压力)、S28(增压压力)以及S23(燃气浓度给定值)这几个因素权重很小,而且数据本身也很小。
如果因素的数值(变量值)很小,而且这些变量的权重也很小,如上面的S25(燃气压力),数值都是零点几,而权重只有百分之三点几,那么,这个因素对这个指数来说,事实上算是可有可无。
如果遇到的是另一种情况:

还是以S25(燃气压力)这个因素为例。如果这个因素的权重是0.336(33.6%,三分之一强),说明这个因素很重要,而这个变量的值却很小。这个时候,可以对这个变量的数据进行倍数级的放大。也就是说,让这些权重大的因素的值,不要区别太大。这样做的目的,就是让某个因素发生变化的时候,对综合运行指数Q具有一定的影响力,也就是说,这些因素变化会导致综合运行指数Q的变化。
比如上面的这个情况,我们可以设定β3 = 100 ,这样可以看到,S25 的数值范围大概就是五六十(或七八十),这个数值的变化会导致综合运行指数Q发生变化,这种指数的构造方法,也是常见的方法。这里针对特定因素(变量)的β,就是对应该因素的等效比例(或者等效倍数)。
(五)综合变化指数
前面的指数是综合运行指数,指数水平和指数变换跟构成指数的各因素(变量)的值的大小有直接关系。这种指数水平反映的更多的是指数对象的状态水平。
还有一种综合运行指数的的构造方法,如下面公式所示:

其中:

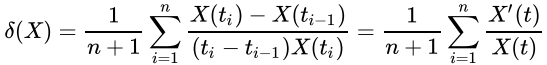
δ(S23)的意思是因素S23的平均变化比率,可以用一个几何图示来说明,δ(S23) 是什么含义。
假设在指数计算时段内,因素 X 有 n+1 个时刻的数据点,分别是 X(tj),j=0~n。


的意思是因素 X 从时刻 ti- 1 到 ti 的时候,单位时间因素变化比例,这样我们就容易理解,δ(X) 的意思是这些变化的平均比率。这种平均变化比率,从整体上反映了对象的综合变化情况。指数的值越高,说明对象的总体变化程度就越大。
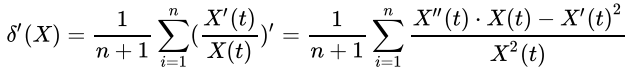
我们也可以通过这个变化指数的变化速度,来估计对象变化的速度。只要把δ(X)做一些变形就很容易看到:

那么,

我们用 Q 表示变化程度:

那么,变化速度 VQ:

对一个对象而言,可以通过对综合运行指数和综合变化指数这两个指数的观察,得到对象状态总体程度和变化程度的量化。还可以通过对综合变化指数的数值微分计算,知道对象变化速度。
对一个复杂的对象而言,这些都是非常重要的指标。
(六)指数因素的相关性
构造指数的因素在选择的时候,一般需要避免选择具有强相关性的因素。在上面的两个指数构造中所选择的因素中:

其中,因素 S24(J功率预设)和因素S29(有功功率)之间是一个强正相关的关系。整个机组运行的时候,有功功率的(S28)实际上是围绕 S24(J功率预设)变动的,基本上呈正态分布,也就是说,基本上满足 μ(S29)=S24。
一般来说,我们可以只选择这两个因素之一作为指数因素(变量),比如可以只选择S29(有功功率)作为指数因素。如果必须同时要选择两个相关性强的因素,那么,其中一个指数因素的权重就不能很大,通常不应超过另一因素权重的15%。
(七)指数因素的权重
构成指数的因素对指数很重要,指数因素的权重对所构造指数也非常重要。简单地说,指数因素的权重,就是对应因素的重要性比例如何量化和分配。
MixIOT 的权重计算器,使用了赛亚特标度(AHP标度)对因素做两两重要性的比对,这个方法会使得权重的分配更加精准合理。
赛亚特标度(AHP标度)用于两两比较决策元素,其值范围从 1到9,具体含义如下:
1:表示两个元素同等重要;
2:表示两个元素之间的重要性比较接近,但仍有细微差别;
3:表示一个元素比另一个元素稍微重要;
4:表示两个元素之间存在明显的重要性差距,但不是极端;
5:表示一个元素明显比另一个元素更重要;
6:表示一个元素的重要性明显高于另一个元素,并且这种差别非常明显;
7:表示一个元素比另一个元素强烈地更为重要;
8:表示两个元素之间的重要性差距非常显著,接近极端;
9:表示一个元素相对另一个元素极为重要。
对于介于这些基本评分之间的判断,还可以使用上述整数值之间的中间值(如1.5、2.5等)来表示它们的评估。使用赛亚特标度的目的和好处可以归纳为:
- 量化主观判断:赛亚特标度允许将主观判断转化为可以比较和计算的量化值。
- 提高决策一致性:通过一致性比率的检验,可以评估决策矩阵的一致性,检查和改进它们的判断,确保判断过程的合理性和一致性。
- 适用于复杂判断:对于包含多个标准和选项的复杂决策问题,赛亚特标度提供了一种有效的工具,系统地比较和评估不同的因素的重要性。
MixIOT 的权重计算器,会对所选择的比对值做出客观的合理性和一致性计算。这是因为在进行两两元素重要性比对的时候,很容易出现自相矛盾的地方。
比如,“A比B重要, B比C重要,C比D重要,但D又比A和B都重要”。这就很显然出现了自相矛盾的地方,而一致性的验证,就是对一致性进行量化。
画一个图来解释这个过程:

假设现在有4个因素(A、B、C、D),我们以横列的因素与纵列的因素两两比对,比对的结果是这样的:
- 对角线是本因素自己跟自己比对, 比对结果当然是1,因为重要性一样;
- B与A的比对是2,所以反过来,A与B的比对是1/2;
- C与A的比对是6,也就是说,A与C的比对是1/6;
- D与A的比对是9,这样,A与D的比对就是1/9;
- C与B的比对是6,B与D的比对自然就是1/6;
- D与C的比对是7,也就是C与D的比对是1/7;
- D与 B的比对是8,这样B与D的比对是1/8。
比对完成后,权重的决策矩阵也就出来了。不难看到,决策矩阵的对角线元素都是1,而决策矩阵的对称位置的元素都是互为倒数。
这个权重决策矩阵的权重计算结果为,wA=0.042、wB=0.064、wC=0.201、wD=0.690。但这个结果是否合理准确,就需要计算一致性比率CR。
一致性比率 CR是一致性指数(CI)与随机一致性(RI)之比,如果一致性比率算出来 CR < 0.1,说明这个决策矩阵的合理性和一致性没有什么问题;
如果一致性比率CR=0.1,说明一致性有问题。这里计算的结果是0.12,虽说差距不大,但还是说明这个一致性是稍有问题,需要进行调整。