如何编制对象的统计指数,是一件十分讲究的事情,最重要的是要非常清楚,我们关注的是对象的什么方面的问题,这样,我们就能编制对应的统计指数。
在工业互联网领域,一般来说,可以从这几个方面来编制对象的统计指数:
有关运行状态、工况条件的统计指数。
这种指数的编制,主要以对象运行的,或对象所在工况条件的一些关键参数(变量)构成。
简单一点的形式是:
也可以使用这样一种形式,比如:
其中,
是对象变量 (FV) 的 “同度量” 因素,是在统计指数计算时段的平均值;
是对应变量(同度量因素)的权重。
这里需要解释一下,什么是 “同度量” 和 “同度量因素”。
从上面统计指数的编制公式可以看出来,这是一个加法,所谓 “同度量因素”,就是对象的不同因素,也就是对象的变量;而 “同度量” 是为了让这些因素能够相加而找到的一个共同的量。
比如 “2只鸡,每只鸡单价是20元” 和 “3只鸭,每只鸭单价是30元”,这里 “鸡” 和 “鸭” 是两个不同的因素,我们可以找到两个同度量:一个是这个两个因素的 “数量”,也就是 “2” 和 “3”,这两个是可以相加的;另一个是购买 “2只鸡” 和 “3只鸭” 花的钱,也就是 “2×20=40元” 和 “3×30=90元”,这也是可以相加的。
虽然这种指数构造方法相对比较简单,但却也十分有效。可以通过观察这个 Q 指数的当 期水平和指数,来判断这个指数所对应的当前状态,以及这个状态的变化历程、变化速度和变化加速度。
有关能效(能效比)的统计指数
能效(或能效比)统计指数也是最常见和常用的统计指数,是反映能耗所产生的效率的指数。这种指数是一个比值,通常是能耗与能效的比,简单地说,就是消耗了多少能源(能 量),产生出了多少东西。
比如,空压机的能效,通常用 “气电比”,也就是 “耗电量/产气量” 来衡量,这是指空压机用了多少电,生产了多少压缩空气。
再比如,生产热蒸汽的燃气锅炉,用 “燃气消耗量/热蒸汽产气量” 来衡量锅炉的能源效率。
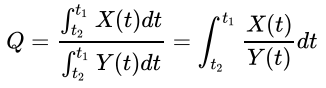
能效比统计指数可以这样来用公式表述:

其中,
和
分别是 T=[t1, t2] 时段的总能耗值(或总能耗当量值)与总产能值(或总产能当量值),这里的总能耗值、总产能值,是所有与能耗相关和产能相关的总和。
能效(能效比)统计指数值(指数水平)以及指数值的变化情况,反应了该对象的能效水平和能效变化情况。同一个对象可以通过能效统计指数的同比或环比分析,与对象的维护 保养规律挂钩;也可以通过对不同对象的能效统计指数比较,找到同类设备之间的差异。
有关产能、达产率或效率的统计指数
除了上述两种指数类型外,还可以根据实际需要去编制跟产能、达产、生产效率相关的统计指数。
有关故障、异常的统计指数
也可以编制一些跟故障或异常相关的统计指数。
统计指数的内容本身比较多,统计指数的编制方法也不尽相同,我们很难在用户手册中逐一去讲解和说明,大家可以自行找一些统计学相关的书籍去参考。